水性聚氨酯涂料的研究进展及其应用
引言 进入21世纪初,环境保护愈发受到世人的关注。溶剂型涂料含有大量的挥发性有机溶剂(VOC),在使用的过程中排入大气,不仅破坏环境,危害健康,同时也浪费资源能量。随着国际范围内的能源紧张和资源保护法进一步苛刻,VOC的排放量进一步受到限制。在这样一个背景下,水性PU就作为涂料而言,不仅在制作过程中不使用溶剂,施工中不排放有机溶剂而且完全符合国际4E原则,因而水性PU的发展,呈现出极为良好的前景。 
溶剂型在下降,水性涂料在上升 1.1聚氨酯的简介 聚氨酯的结构它由多异氰酸酯(如,二异氰酸酯OCN-R-NCO)与多元醇(如,二元醇HO-R-OH)聚合而成,其中氨基甲酸酯链段是重复的结构单元。聚氨酯结构中具有类似酰胺基团及酯基团的结构,因此,聚氨酯的化学与物理性质介于聚酰胺和聚酯之间。 —[-CO-NH-R-NH-CO-OR-O-]n—1.2水性聚氨酯 水性聚氨酯(Waterborne Polyurethane,简称WPU)是以水为介质或者分散于的二元胶态体系。聚氨酯粒子分散于连续的水相中,也称之为水性PU或水基PU。它具有无毒,不易燃烧,不污染环境,节能,安全可靠,不易损伤被涂饰表面,易操作和改性等优点。 1.2.1水性聚氨酯的分类 外观分类: 水性聚氨酯可分为聚氨酯水溶液(粒经<1nm)、聚氨酯分散体(粒经1nm~100nm)和聚氨酯乳液(粒经>100nm)。 亲水基团: 水性聚氨酯可分为阴离子型水性聚氨酯、阳离子型水性聚氨酯和非离子型水性聚氨酯。 合成单体: 水性聚氨酯可分为聚醚型、聚酯型和聚醚、聚酯混合型。 包装形式: 水性聚氨酯可分为单组分水性聚氨酯和双组分水性聚氨酯。 1.3水性聚氨酯的合成 水性聚氨酯树脂是水性PU涂料,胶粘剂等应用的基料,要想得到水性的PU涂料,必须首先制得稳定的水性PU树脂。由于PU疏水性很强,难分散于水中,企图采用一般的乙烯基合成树脂的方法是不可行的。一般用聚合物二元醇(或多元醇)与二异氰酸酯反应,制得预聚体聚氨酯树脂,然后采用相转移的方法将其溶解或者乳化在水中。 1.3.1 水性聚氨酯的合成原料 多异氰酸酯 水性聚氨酯合成的多异氰酸酯包括芳香族和脂肪族两大类。芳香族主要有TDI(甲苯二异氰酸酯)、MDI(二苯基甲烷二异氰酸酯);脂肪族主要有HDI(六亚甲基二异氰酸酯)、IPDI(异佛尔酮二异氰酸酯)。 低聚物多元醇 水性聚氨酯合成用低聚物多元醇主要包括聚醚型、聚酯型两大类,它构成聚氨酯的软段。 扩链剂 为了调节分子量及软、硬段比例,在水性聚氨酯合成中常使用扩链剂。扩链剂主要是多官能度醇类或胺类化合物。 亲水剂(亲水性扩链剂) 亲水性扩链剂指能在水性聚氨酯大分子主链上引入亲水基团的扩链剂,它是水性聚氨酯制备中使用的功能单体。该类扩链剂中带有羧基、磺酸基或叔胺基,结合有此类基团的聚氨酯经中和、离子化,即呈现水溶性。 中和剂(成盐剂) 中和剂是一种能和羧基、磺酸基或叔胺基成盐的试剂。水性聚氨酯使用的中和剂是三乙胺、氨水、盐酸及醋酸等。 溶剂 水性聚氨酯预聚体制备时粘度较大,为方便传质、传热,尤其是后期的乳化,必须加入适当的溶剂。 水 水性聚氨酯中水是分散介质,为提高稳定性,此时应使用去离子水或蒸馏水。 1.3.2 水性聚氨酯的合成机理 水性聚氨酯的合成可分为两个阶段: 第一阶段为预逐步聚合,即由低聚物二醇、扩链剂、水性单体、二异氰酸酯通过溶液逐步聚合生成分子量为103 量级的水性聚氨酯预聚体; 第二阶段为中和后预聚体在水中的分散。 
1.3.3水性聚氨酯的合成方法 一、外乳化法 此法是采用二官能度(聚醚和聚酯等)和过量的二异氰酸酯通过逐步聚合反应,制成具有适当分子量的带有NCO端基的PU预聚体和其溶液,然后加入适当的乳化剂,经强剪切作用,强制性地分散于水中,反应如下: 
预聚体粘度越低,越容易乳化,分散所需的能量也越低。如入少量的可溶于水中的有机溶剂易于乳化。最好的办法是在乳化剂存在的情况下,将这种PU与二胺扩链剂反应,以生成分子量更高的聚氨酯-聚脲树脂。其反应如下: 
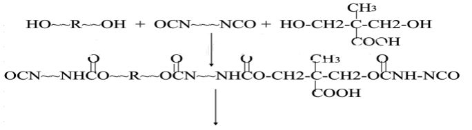
由于胺基与NCO基团反应速率比水快一个数量级,因此外乳化法在大多数的情况下可在水中分散的同时进行扩链。 二、自乳化法 在疏水性的聚氨酯分子结构中引入亲水的离子性基团,制成含离子键的聚氨酯,然后将其分散于水中,并在油水两相体系中进行扩链反应,经季铵化形成离子时,即得稳定的水性聚氨酯。 按亲水基团的类型可分为: (1)阴离子型水性聚氨酯,亲水基团为羧基或者磺酸基。 (2)阳离子型水性聚氨酯,亲水基团为叔胺基。 阴离子型 将二官能度聚醚或者聚酯和过量二异氰酸酯反应,制备含NCO端基的预聚体,然后在溶剂中采用羧基酸(如酒石酸,TMP)作为扩链剂,将羧基阴离子引入到聚氨酯主链中,在用有机胺中和后,在搅拌作用下加入无离子水乳化,即得阴离子型聚氨酯。 

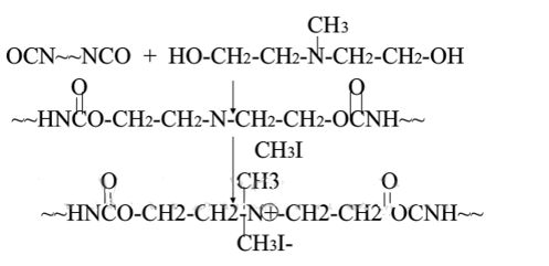
阳离子型 和阴离子型水性聚氨酯有所不同的,是在预聚体的制备过程中使用N-烷基二醇胺扩链剂,生成分子量较高的预聚体,使聚氨酯分子结构中含有叔胺基。其反应如下:再用酸(如醋酸)中和,或在中和时使残存NCO与水反应也可用卤代烷将大分子链上的叔胺基转化为季铵盐,在均化器中搅拌乳化成阳离子型水性聚氨酯。 
也可将异氰酸酯与N-甲基二乙醇胺反应,再与碘甲烷进行季铵制成阳离子水性聚氨酯。反应过程如下: 
乳化原理: 利用中和剂或成盐剂,使水性聚氨酯的侧基(COOH)或叔氨基( NR3)在高速搅拌作用下分散于水中。中和剂或成盐剂的选择原则是: 使树脂稳定性好,色浅外观好且经济易得。乳化过程中,理想的状态是聚氨酯大分子链上的疏水部分曲卷聚集在乳胶中心。亲水基团分布在乳胶粒表面并指向外围水相,粒子界面上离子结合体的分裂作用形成双电层,通过化学键连接在聚氨酯骨架上的阴(阳)离子保留固定在粒子表面,而离子则迁移至粒子周围的水相中,在微球表面形成N电势的电荷层,从而加强了水分散体的稳定性。 1.4 水性聚氨酯的应用 
|